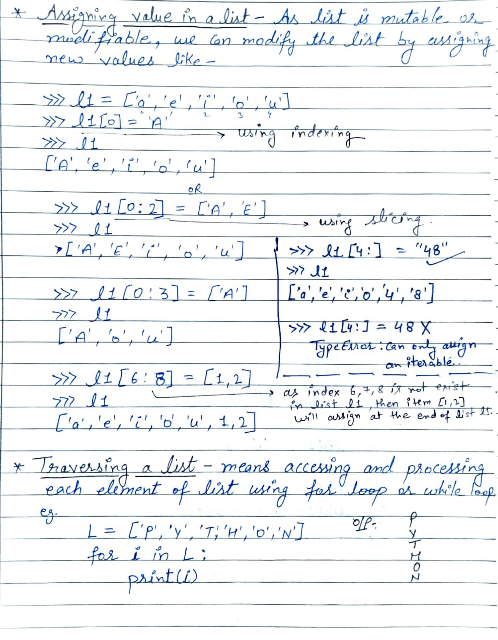
List in Python
List:



List:
1. | NATIONAL SPACE DAY |
2. | A.I. - Class 10 Entrepreneurial Skills |
3. | A.I. - Class 10 ICT Skills |
4. | A.I. - Class 10 Self Management Skills |
5. | A.I. - Class 10 - Introduction to AI |
Easy notes on Artificial Intelligence (417) for Class 9, CBSE
CLICK HERE
Easy notes on Artificial Intelligence (417) for Class 10, CBSE
CLICK HERE
Easy notes on Information Technology (402) for Class 10, CBSE
CLICK HERE